Algebra 2 Solving Exponential Equations Worksheet Answers

Algebra 2 Solving Exponential Equations Worksheet Answers - To purchase this lesson packet, or lessons for the entire course, please click here. This algebra 2 exponential equations not requiring logarithms worksheet will give you exponential equations to solve. Solve the exponential equation using logarithms. 1) 27 = x 3 2 2) m 3.

Exponential Equation Worksheets

Exponential Equation Worksheets

Enjoy these free printable sheets focusing on the topics traditionally included in the exponents unit in algebra 2. Brooklyn eve punziano created date: .n z ia nl nlx 7rbi5gqhft zsa er 3ehs 4e 0rfv meid w.s 1 nmwa hdwec nwkijt ohh cibn 7fki1nai ht7ej da hlng3efb srmaa k2 2.y worksheet by kuta software llc.

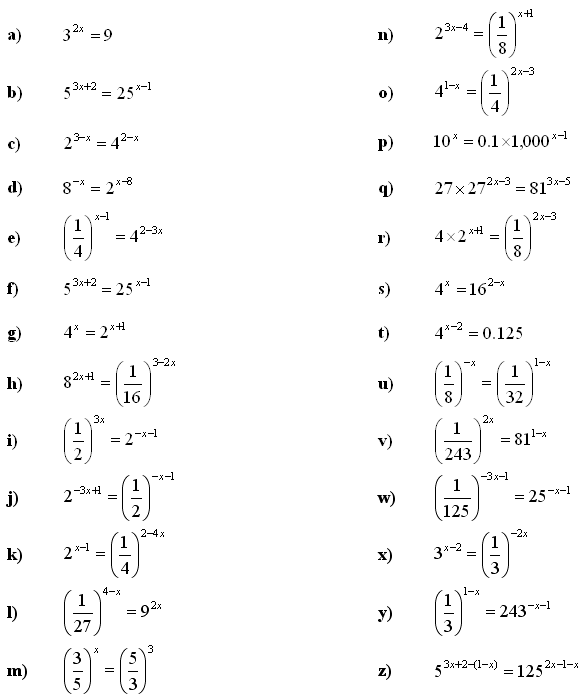
Solve The Exponential Equation Using Any Method.

Infinite algebra 2 name_____ rational exponent. Create your own worksheets like this one with infinite precalculus. Create the worksheets you need with infinite algebra 2.

Solve Each Of The Following Equations.

Each worksheet has model problems worked out step by step, practice problems, as well as challenge questions at the sheets end. 3) 16x + 2 = 95. 5) 4 × 9 + 3 = 6.

Free Trial Available At Kutasoftware.com

Your answer should contain only positive exponents with no fractional exponents in the denominator. Property of equality for exponential equations words two powers with the same positive base b,. Round your answers to four decimal places.

Solving Exponential Equations With The Same Base.

Test and worksheet generator for algebra 2. You can choose the number of problems you want and the form of the problems. Includes full solutions and score reporting.

Show All Work And Check Your Answers.

Solving exponential equations worksheet. 1) 3 b = 17 2) 12 r = 13 3) 9n = 49 4) 16 v = 67 5) 3a = 69 6) 6r. Exponential equations worksheet #1 name_____ solve the exponential equation.

Fast And Easy To Use.

You can chose the number of problems you want and the form of the problems. Exponential equations requiring logarithms worksheets these algebra 2 exponential and logarithmic functions worksheets will give you exponential equations to solve. Here is a set of practice problems to accompany the solving exponential equations section of the exponential and logarithm functions chapter of the notes for paul dawkins algebra course at lamar university.

Exponential Equations Are Equations In Which Variable Expressions Occur As Exponents.

25) x 1 2x3 x 26) (x2) 3 2 x 1 2x2 27) (b 2 3) 3 b × b 28) x2x 3 2 (x2) 4 3 solve each equation. Infinite algebra 2 covers all typical algebra 2 material, beginning with a few major algebra 1 concepts and going through trigonometry. Never runs out of questions.

Exponential Equation Worksheets

Exponential Equation Worksheets

Simplify Exponential Expressions Worksheet Onlineworksheet.my.id

Simplify Exponential Expressions Worksheet Onlineworksheet.my.id

Algebra 2 Worksheets Exponential and Logarithmic Functions Worksheets

Algebra 2 Worksheets Exponential and Logarithmic Functions Worksheets

Grade 5 Exponents Worksheets

Grade 5 Exponents Worksheets

Solving Exponential Equations Worksheet With Answers —

Solving Exponential Equations Worksheet With Answers —

Math Exercises & Math Problems Exponential Equations and Inequalities

Math Exercises & Math Problems Exponential Equations and Inequalities

7 2 Practice Solving Exponential Equations And Inequalities Answer Key Tessshebaylo

7 2 Practice Solving Exponential Equations And Inequalities Answer Key Tessshebaylo

Algebra 2 Exponential And Logarithmic Functions Worksheet Function Worksheets

Algebra 2 Exponential And Logarithmic Functions Worksheet Function Worksheets

Solving Exponential Equations Worksheet

Solving Exponential Equations Worksheet

Exponential Equation Worksheet With Answers Equations Worksheets

Exponential Equation Worksheet With Answers Equations Worksheets

Exponent Rules Worksheet With Answers

Exponent Rules Worksheet With Answers

Solving Exponential And Logarithmic Equations Worksheet With Answers Pdf Kidsworksheetfun

Solving Exponential And Logarithmic Equations Worksheet With Answers Pdf Kidsworksheetfun

Exponent Rules Review Worksheet Answer Key

Exponent Rules Review Worksheet Answer Key

Algebra 1 Exponential Functions Worksheet Kidsworksheetfun

Algebra 1 Exponential Functions Worksheet Kidsworksheetfun

Exponential Equation Worksheet With Answers Equations Worksheets

Exponential Equation Worksheet With Answers Equations Worksheets