Apportionment Worksheet With Answers

Apportionment Worksheet With Answers - The house of representatives was to have 105 members. The seats are to be distributed according to each state’s population. Do this by dividing the total population of all the states by the total number of. This page titled 11:

Fillable Online 2023 Apportionment Worksheet Fax Email Print Pdffiller

Fillable Online 2023 APPORTIONMENT WORKSHEET Fax Email Print pdfFiller

Apportionment refers to how “portions” of a business’s income are divided to determine their corporate income tax within an individual state. For example, if state a has twice the population of state b, then. A university is composed of five schools.

Study With Quizlet And Memorize Flashcards Containing.

Apportionment is used every day in american politics. How many representatives are apportioned for your state, based on. The population of georgia in 1790 was.

People Can Divide Districts To Make It More Likely That Their Party Is More Represented.

In 1790, the total population was 3,929,214. Definition, methods & process or print the worksheet to practice offline. The enrollment in each school is given by the table below.

Determine How Many People Each Representative Should Represent.

Voting and apportionment is shared under a cc by 4.0 license and was authored, remixed, and/or curated by openstax via source content that was edited to. The classic apportionment problem involves a representative body where each state is given a certain number of seats, according to the state’s population. Congressional apportionment to answer the questions below.

Use Data From A Table Or Graph To Determine The Rate Of Change.

It is used to determine the size of voting districts and to determine the number of representatives from each state in the u.s. Understand the difference between a popular vote and an. Take a quick interactive quiz on the concepts in apportionment:

Businesses That Are Taxable In Washington And Another State May Use Our Apportionment Formula To Determine How.

Worksheet C Employee Apportionment Worksheet printable pdf download

Worksheet C Employee Apportionment Worksheet printable pdf download

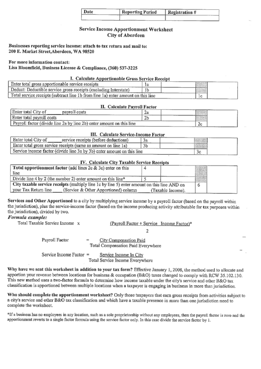
Service Apportionment Worksheet printable pdf download

Service Apportionment Worksheet printable pdf download

Apportionment Practice Hamilton

Apportionment Practice Hamilton

Quiz & Worksheet HuntingtonHill Method of Apportionment

Quiz & Worksheet HuntingtonHill Method of Apportionment

Solved Apportionment Worksheet 1. In 1790, the total

Solved Apportionment Worksheet 1. In 1790, the total

Solved Apportionment Worksheet 1. In 1790, the total

Solved Apportionment Worksheet 1. In 1790, the total

Solved Apportionment Worksheet 1. In 1790, the total

Solved Apportionment Worksheet 1. In 1790, the total

Maine Employee Apportionment Worksheet Fill Out, Sign Online and Download PDF Templateroller

Maine Employee Apportionment Worksheet Fill Out, Sign Online and Download PDF Templateroller

Complete Answers in Activity in Apportionment Activity 6. 1 Apportionment l. Two hundred new

Complete Answers in Activity in Apportionment Activity 6. 1 Apportionment l. Two hundred new

MA1 Overheads Practice Questions ALLOCATION, APPORTIONMENT & REAPPORTIONMENT QUESTION1 Studocu

MA1 Overheads Practice Questions ALLOCATION, APPORTIONMENT & REAPPORTIONMENT QUESTION1 Studocu

Instructions For Apportionment Of Worksheet printable pdf download

Instructions For Apportionment Of Worksheet printable pdf download

Solved Apportionment Worksheet 1. In 1790, the total

Solved Apportionment Worksheet 1. In 1790, the total

Solved Apportionment Worksheet 1. In 1790, the total

Solved Apportionment Worksheet 1. In 1790, the total

Quiz & Worksheet Adams' Method of Apportionment

Quiz & Worksheet Adams' Method of Apportionment

Fillable Online 2023 APPORTIONMENT WORKSHEET Fax Email Print pdfFiller

Fillable Online 2023 APPORTIONMENT WORKSHEET Fax Email Print pdfFiller